NPV Calculator
Calculate the NPV (Net Present Value) of an investment based on the initial investment, discount rate, investment term, and cash flows. Also calculates Internal Rate of Return (IRR), gross return and net cash flow.
- Using the NPV calculator
- What is Net Present Value?
- NPV formula
- A practical example
- Applications, caveats, and alternatives to net present value
- Financial caution
Using the NPV calculator
Our online Net Present Value calculator is a versatile tool that helps you:
- calculate the Net Present Value (NPV) of an investment given its cash flows
- calculate gross return, Internal Rate of Return IRR and net cash flow
Start by entering the initial investment and the period of the investment, then enter the discount rate, which is usually the weighted average cost of capital (WACC), after tax, but some people prefer to use higher discount rates to adjust for risk, opportunity cost, and other factors. Finally, enter the net cash flow for each year or other period (a maximum of 25 periods are allowed). Make sure you enter the free cash flow and not a cash flow after interest, which will result in double-counting the time value of money.
Our NPV calculator will output: the Net Present Value, IRR, gross return, and the net cash flow over the entire period.
What is Net Present Value?
The definition of net present value (NPV), also known as net present worth (NPW) is the net value of an expected income stream at the present moment, based on its prospective value in the future. This is done by discounting future cash flows by a rate that reflects the time value of money.
The textbooks definition is that "the net present value of any investment is the sum of all current and future cash flows discounted back to the present using an appropriate discount rate" [1]. Mathematically, it is the sum (Σ) of present values of all expected cash flows (positive or negative), minus the initial investment.
To understand what is meant by "present value", take as an example a possible business investment of $500,000 which is expected to bring a cash flow of $50,000 in one year time or a return on capital of 10%. If the cost of capital is 11% per year then the present value of that $50,000 income stream is in fact negative (-$4,504.50 to be exact) meaning that the return does not justify the investment. However, if the cost of capital can be reduced to 5% then the present net worth of this same cash flow would become 23,810 USD signalling a more efficient use of capital so it would be worthwhile to undertake the business venture.
How to choose the discount rate in NPV analysis?
To estimate the present value we need to set a discount rate. It is inherently company-specific as it relates to how the company is funding its operations. Using WACC is fine in the case of borrowed capital whereas if it is calculated from the point of view of investors and shareholders it can be chosen so it reflects the rate of return they expect. For example, if shareholders expect a 10% return then this is the discount rate to use when calculating NPV for that business.
After the discount rate is chosen, one can proceed to estimate the present values of all future cash flows by using the NPV formula. Then just subtract the initial investment from the sum of these PVs to get the present value of the given future income stream.
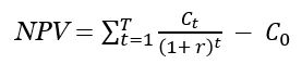
NPV formula
If you wonder how to calculate the Net Present Value (NPV) by yourself or using an Excel spreadsheet, all you need is the formula [1][2]:

In this equation:
- r is the discount rate
- T is the number of cash flow periods
- t denotes a specific period
- C0 is the initial investment
- Ct is the cash flow (return) during period t
For example, with a period of 10 years, an initial investment of $1,000,000 and a discount rate of 8% (average return from an investment of comparable risk), t is 10, C0 is $1,000,000 and r is 0.08.
A practical example
Let us see an example of using the Net Present Value calculation to assess the profitability of purchasing a house. Let us say the house costs $500,000 and it is expected that it could be sold for $700,000 in 3 years. Maintenance and taxes cost $10,000 a year. At the same time a less risky investment is a T-Bond which has a yield of 5% per year, meaning that this will be our discount rate. Plugging in the numbers into the Net Present Value calculator we see that the resulting NPV is $77,454 which is not a bad compensation for the increased risk. We can also compare the IRR which is 10% which is double the T-Bond yield of 5%. Of course, if the risk is more than double that of the safer option, the investment might not be wise, after all.
Note that only the initial investment is an exact number in the above calculation. All other values are estimates and expectations. If they are off by a certain amount, for example if the sale price at the end is only $650,000 and if the maintenance turns out to be twice as expensive, the investment may yield close to zero discounted return.
Applications, caveats, and alternatives to net present value
Due to its simplicity, the net present value financial metric is often used to determine whether a project is worth undertaking or an investment worth making as it shows whether it will result in a net profit or loss, with positive NPV meaning that there is profit to be made and negative NPV means losses are to be expected. Usually a company or individual cannot pursue every positive return project, but NPV is still useful as a tool in discounted cash flow (DCF) analysis used to compare different prospective investments.
As with any metric, NPV is only as accurate as long as the assumptions are met and the estimates that go in are well-researched. Substantial errors in the output can result from bad input. It is always wise to allow for some unforeseen expenditures to get off the ground or during its duration.
An alternative to net present value is using the payback period, which measures how long it will take for the original investment to be fully repaid, but this method should not be used for longer-term investments as it does not account for the time value of money. Also, it does not reflect earnings past this period and can't account for sharp movements in the cash flow.
Since NPV does not provide an overall net gains/losses picture, it is often used alongside tools such as IRR.
Financial caution
This is a simple online NPV calculator which is a good starting point in estimating the Net Present Value for any investment, but is by no means the end of such a process. You should always consult a qualified professional when making important financial decisions and long-term agreements, such as long-term bank deposits. Use the information provided by the calculator critically and at your own risk.
References
1Desai M. A. (2019) "How Finance Works: The HBR Guide to Thinking Smart about the Numbers" Harvard Business Review Press pp.72-75
2Damodaran, A. (2012) "Investment Valuation: Tools and Techniques for Determining the Value of Any Asset" (3rd edition) John Wiley & Sons, pp.11-13
Cite this calculator & page
If you'd like to cite this online calculator resource and information as provided on the page, you can use the following citation:
Georgiev G.Z., "NPV Calculator", [online] available at: https://www.gigacalculator.com/calculators/npv-calculator.php [accessed: May 21, 2026].